전환율(Conversion Rate)의 신뢰구간 계산이 중요한 진짜 이유
전환율은 단순한 숫자가 아니다
마케터나 데이터 분석가라면 하루에도 수차례 "전환율(Conversion Rate)"이라는 단어를 마주합니다.
예를 들어, A/B 테스트 결과에서 A안의 전환율은 3.2%, B안은 3.5%라고 하면, 많은 사람들은 곧바로 "B가 더 성과가 좋다"고 결론짓기 쉽습니다.
하지만 그게 정말 사실일까요?
전환율이라는 수치는 단순히 전체 방문자 중 몇 %가 원하는 행동(구매, 클릭, 회원가입 등)을 했는지를 보여주는 비율일 뿐, 통계적으로 의미 있는 차이인지는 별개의 문제입니다.
바로 이 지점에서 **신뢰구간(confidence interval)**의 중요성이 드러납니다.
신뢰구간이란 무엇인가?
신뢰구간이란, 어떤 모수를 추정할 때 실제 값이 있을 가능성이 높은 범위를 뜻합니다.
즉, 우리가 어떤 집단의 전환율을 측정해서 3.2%가 나왔다면, 이 수치 자체는 샘플에서 나온 '추정치'일 뿐이며, 진짜 전환율(모수)은 95% 확률로 이 범위 안에 있을 것이다라는 가설 아래 계산된 것이 바로 신뢰구간입니다.
예를 들어,
- A안의 전환율이 3.2% (신뢰구간: 2.7% ~ 3.7%)
- B안의 전환율이 3.5% (신뢰구간: 2.9% ~ 4.1%)
라고 한다면, 겉보기에는 B가 더 높지만 두 신뢰구간이 겹치기 때문에 통계적으로 유의미한 차이라고 볼 수 없다는 뜻입니다.
전환율의 신뢰구간이 중요한 진짜 이유 5가지
1. 통계적 유의미함을 판단할 수 있다
단순 전환율 수치만 보면 착각하기 쉽습니다. 특히 마케팅 캠페인이나 UX 변경의 성과 측정 시, 수치 차이가 실제 효과인지, 아니면 **우연히 생긴 통계적 잡음(noise)**인지 판단하는 것이 핵심입니다.
신뢰구간이 겹치지 않을 때만 우리는 "이 차이는 우연이 아니라 진짜 변화"라고 확신할 수 있습니다.
즉, 신뢰구간은 A/B 테스트의 승자를 결정하는 과학적인 기준선이 됩니다.
2. 의사결정의 리스크를 줄여준다
데이터 기반 의사결정은 정확성이 생명입니다.
만약 B안이 A안보다 전환율이 0.3% 높다고 무작정 롤아웃(전체 적용) 했는데, 실제로는 유의미한 차이가 아니라면 시간과 리소스가 낭비됩니다.
신뢰구간 분석을 통해 우리는 결과에 대한 확신의 정도를 수치로 표현할 수 있습니다.
예:
- "이 캠페인은 95% 확률로 전환율을 향상시킬 것이다" → 도입 가능성 ↑
- "전환율 차이는 우연일 수 있다" → 추가 실험 혹은 보류 결정 가능
3. 샘플 사이즈의 적절성 검토에 활용된다
전환율이 유사해 보이는데도 신뢰구간이 넓다면, 이는 샘플 사이즈가 충분하지 않다는 의미일 수 있습니다.
- 샘플이 작을수록 신뢰구간은 넓어짐 → 불확실성 증가
- 샘플이 충분할수록 신뢰구간은 좁아짐 → 결과에 대한 신뢰도 상승
즉, 신뢰구간은 데이터의 질적 신뢰도를 측정하는 지표로도 활용됩니다.
4. 이해관계자에게 결과를 신뢰성 있게 전달할 수 있다
비즈니스 현장에서 마케터나 데이터 분석가는 종종 CEO, 영업팀, 개발팀 등 다양한 이해관계자들과 커뮤니케이션해야 합니다.
이때 단순히 "전환율이 X%입니다"보다는 "95% 신뢰구간 기준, 전환율은 X% ~ Y%입니다"라고 설명하면 훨씬 신뢰성과 설득력 있는 보고가 됩니다.
이해관계자들은 결과의 숫자만이 아니라, 그 숫자가 얼마나 믿을 만한 것인지에 관심이 많기 때문입니다.
5. ROI와 마케팅 예산 집행의 전략적 판단 근거가 된다
전환율에 따라 광고 예산, 리소스 배분, UX 개선 방향이 결정되는 경우가 많습니다.
신뢰구간 없이 단순 수치로만 판단할 경우, 마케팅 자산이 불확실한 가정 위에 투자될 수 있습니다.
반대로, 신뢰구간이 뒷받침된 수치를 기반으로 의사결정을 하면, 예산 사용의 **투자 대비 효율(ROI)**도 명확해지고, 향후 테스트 전략 수립도 체계화됩니다.
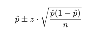
실제 계산 예시 (간단한 수식 포함)
A안:
- 방문자 수: 5,000명
- 전환 수: 160건
- 전환율: $ \hat{p} = \frac{160}{5000} = 0.032 = 3.2% $
전환율의 95% 신뢰구간은 보통 다음 공식을 사용합니다:

- $z$: 신뢰수준에 따른 값 (95%일 경우 약 1.96)
- $n$: 전체 표본 수
계산 결과:

→ 신뢰구간: 2.7% ~ 3.7%
이렇게 계산된 신뢰구간을 가지고 B안과 비교하면, 그 차이가 단순한 우연인지, 실제 효과인지를 과학적으로 판단할 수 있습니다.
결론: 진짜 마케터는 '숫자의 의미'를 해석할 줄 안다
전환율의 신뢰구간을 계산한다는 것은 단순한 통계놀음이 아닙니다.
이는 성과 데이터에 대한 확신을 수치로 확보하고, 리스크를 최소화하며, 의사결정의 질을 높이는 정교한 마케팅 전략의 핵심 수단입니다.
수치는 누구나 보고 말할 수 있습니다. 하지만 그 수치가 말하는 의미와 한계를 이해하고 해석하는 능력은 전략가와 일반 실무자를 구분 짓는 기준입니다.
전환율을 볼 땐, 꼭 신뢰구간도 함께 보십시오. 그것이 진짜 마케터의 기본입니다.

'마케팅관련' 카테고리의 다른 글
| 클릭률(CTR) 변화에 숨겨진 다중공선성(Multicollinearity)의 흔적 (0) | 2025.05.20 |
|---|---|
| 프로비트(Probit) 모델을 사용한 구매의도 분석 실험기 (1) | 2025.05.18 |
| '요인분석'을 이용한 소셜미디어 이용 패턴 분해 (1) | 2025.05.15 |
| 표본 추출 편의성(Sampling Bias)에 따른 커피 브랜드 인식 왜곡 (0) | 2025.05.12 |
| 설문지의 응답 편향(Response Bias)이 마케팅 전략을 망치는 방식 (0) | 2025.05.11 |
댓글